Magnetism and Superconductivity

We grow and study thin films of magnetic and superconducting materials. Head to our research site directly or follow one of the links on the left pane.

Research Projects

  • Structural, magnetic and electronic properties of SrFeO3-x monolayers and YBa2Cu3O7/SrFeO3-x /La2/3Ca1/3MnO3 heterostructures

    pin-singlet Cooper pairs from a superconductor (SC) can penetrate into a ferromagnetic material (FM) with an oscillating and fast decaying density. However, if the SC/FM interface affects the spin orientation of the Copper pairs due to a non-collinear magnetic material (NCM), then spin-triplet Cooper pairs are generated that enetrate much further into the ferromagnetic material, see Figure 1. SrFeO3-x (SFO) is a promising non-collinear interface material due to its helical spin properties below 110K. We study the magnetic and conducting properties of pulsed-laser deposited epitaxial SFO monolayers and YBa2Cu3O7/SrFeO3-x/La2/3Ca1/3MnO3hetero-structures. Structural, magnetic and electronic properties are investigated with x-ray magnetic circular dichroism, x-ray linear dichroism, non-resonant and resonant x-ray diffraction, x-ray reflectivity, polarized neutron reflectometry, resistance and magnetization measurements as well as transmission electron microscopy.

  • Spin polarized transport through multi-layered superconducting structures

    Magnetism and superconductivity are generally reported as competing phenomena in high TC superconductors, because of the different spin order imposed to carriers (antiparallel spin-singlet Cooper pairs for the superconductive state, parallel for the uniformly magnetized state). Therefore, one should expect that a spin polarized current loses its polarization when flowing from a magnetized material to a high TC superconductor.

    For this project magnetic multi-layered devices, which can be seen as organic spin valves modified with an intermediate layer of superconducting Yttrium Barium Copper Oxide (YBCO), are grown and characterized to test the possibility of a spin polarized transport through the devices. Resistivity vs. magnetic field measurements as well as conductance vs. applied voltage measurements are performed on these samples at low temperature in order to acquire information on the superconducting properties of YBCO.

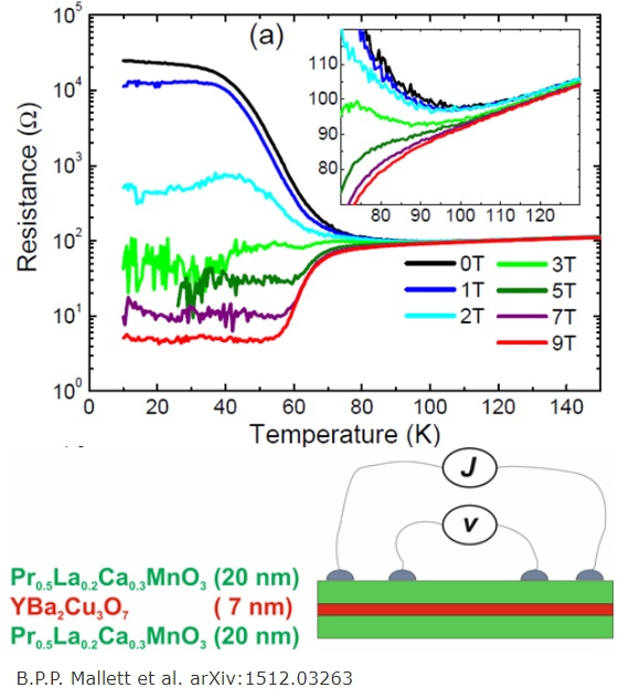
  • Magnetic-field-induced transition from insulating to superconducting state

    We have found very unusual effect by applying strong magnetic field like 9T SC coherence is restored on pulsed laser deposition (PLD) grown PLCMO/YBCO/PLCMO trilayer, transport measurements show that under magnetic field resistance drops down, sample undergoes insulator to superconductor transition! While in zero field below Tc of superconducting YBCO layer, upturn of the resistance shows an insulating state. Above Tc moderate values of resistance is the indication of the metallic state of YBCO , Tc is almost magnetic field independent, this is a granular superconductor.

  • Superconductor-spintronics combination for devices

    The so called “superspintronics” is a field that raises a lot of interest due to the intrinsic complications encountered when trying to combine superconductivity and spintronics in a solid state system/device, since these two phenomena appear to be incompatible, as well as to its potential electronic applications. Heterostructures composed by different complex oxides are grown in our group with atomic precision via the Pulsed Laser Deposition technique. The materials chosen exhibit separately the ingredients of a superspintronic device. We explore, in collaboration with the Experimental Condensed Matter Physics group from Stockholm University, the perpendicular transport properties of these heterostructures. In order to probe the current as it passes through the heterostructure, diverse nanofabrication techniques are employed to define the study area, such as Optical lithography, Reactive Ion Etching or Focused Ion Beam.

     

  • Terahertz ellipsometry study of the soft mode behaviour in Ultrathin SrTiO3 films
    ith terahertz ellipsometry we studied the behaviour of the soft-mode of Strontium Titanate (SrTiO3) in ultrathin film with thickness only 8.5 nm. In contrast to bulk SrTiO3, the softening of the mode is supressed due to compressive strain from the LSAT substrate. In thicker films (85 nm) we observed that bulk-like behaviour of the soft-mode can be restored by annealing, which leads to strain relaxation.

     

  • Anisotropy of the infrared-active phonon modes in tetragonal SrTiO3 (110)

    With infrared ellipsometry we investigated the structural domain formation in SrTiO3 (110) single crystals in the tetragonal state below the so-called antiferrodistortive transition at T*=105 K. In particular, we studied the anisotropy of the infrared-ctive phonon modes and showed that it can be used as an indicator for the orientation of the structural domains. We also found that a mono-domain state with the tetragonal axis (c-axis) parallel to the [001] direction can be created by applying a moderate uniaxial pressure of about 3 MPa along the [1-10] direction. Notably, we find that the memory of this stress-induced mono-domain state persists after warming the sample to room temperature, releasing the stress and cooling it again to low temperature.

  • Terahertz and Far-infrared ellipsometry study on Ruddlesden-Popper SrO(SrTiO3)n=4 thin films

    Metalorganic Aerosol Deposition (MAD), as an unconventional method to deposit thin oxide layers, allows an excellent growth control down to submonolayer basis. This is presented by complex Ruddlesden-Popper (RP) n=4 films with the general formula SrO(SrTiO3)n in which perovskite layers of (SrTiO3)n are separated by single SrO layers.

    The films were grown in atomic layer epitaxy (ALE) mode by sequential deposition of Sr-O/Ti-O2 atomic layers, monitored by optical in-situ ellipsometry, on SrTiO3(100) (unstrained), on LSAT(100) and on DyScO3(110). Those dielectrics are promising due to low-loss for microwave frequencies, [1] and could replace the well-studied system BaSrTiO3.

    The optical response of those films grown on DyScO3 and LSAT, where biaxial strain is induced due to the lattice mismatch between film and substrate, has been measured with a combination of continuous wave Fourier-transform (FTIR) ellipsometry in the far-infrared range with time-domain terahertz (TD-THz) ellipsometry.

    [1] C.-H. Lee et al. Exploiting dimensionality and defect mitigation to create tunable microwave dielectrics Nature 532, Vol 502 (2013)